Germanii se mențin în topul turiștilor străini sosiți în unitățile de cazare

Germanii se mențin în topul turiștilor străini sosiți în unitățile de cazare
person Horeca
access_time_filled

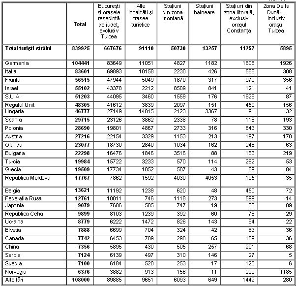
Germanii conduc și în primul semestru al acestui an topul turiștilor străini sosiți în unitățile de cazare din România. Potrivit datelor publicate de Institutul Național de Statistică, peste 100.000 de turiști germani (104.441 mai exact) au sosit în structurile de primire turistică cu funcțiuni de cazare din țară, în primele 6 luni ale acestui an.

Turiștii germani sunt urmați în clasament de turiștii italieni (83.601) și de cei francezi (56.515). În topul turiștilor străini sosiți în unitățile de cazare din țară în primul semestru al acestui an se mai află turiști din Israel, SUA, Regatul Unit, Ungaria, Polonia și Austria. Din Republica Moldova au sosit 17.767 de turiști.

turististrainiromania

Potrivit INS, sosirile înregistrate în structurile de primire turistică în primul semestru al acestui an au însumat 3,513 milioane, în creștere cu 5,1% față de cele înregistrate în aceeși perioadă a anului trecut. Din numărul total de sosiri înregistrate, 23,9% (839.925 mai exact) aparțin turiștilor străini, ponderi apropiate de cele din semestrul I 2013.

În ceea ce privește sosirile turiștilor străini în structurile de primire turistică, cea mai mare pondere au deținut-o cei din Europa (77,7% din total turiști străini), iar din aceștia 85,4% au fost din țările aparținând Uniunii Europene.

Cele mai multe sosiri ale turiștilor străini după țara de proveniență, pe zone turistice, în semestrul I 2014, se prezintă după cum urmează:

graficturistisemestruI2014

Sursă grafic: www.insse.ro

Articole Recomandate

Despre HORECA

Horeca.ro aduce zilnic în actualitate cele mai importante informaţii din industria ospitalităţii româneşti şi cea internaţională.

© 2015-2022 Horeca Romania. Toate drepturile rezervate.
ISSN 2286-1211 » ISSN-L 2247-8302