Hotelurile din România au avut un număr record de înnoptări în 2017

Hotelurile din România au avut un număr record de înnoptări în 2017
person Horeca
access_time_filled

Piața hotelieră din România a avut în 2017 cel de-al șaptelea an consecutiv de creștere. în cele aproape 100.000 de camere de hotel au fost înregistrate peste 20 de milioane de înnoptări, un avans de 4% față de anul precedent, respectiv 57% față de anul 2010, arată un studiu realizat de Cushman & Wakefield Echinox.

Indicele net de utilizare a locurilor de cazare în hoteluri a avansat cu 60 de puncte procentuale, până la 39,4%, față de un nivel de 29,9% în 2010. Unitățile de cazare din România au primit în 2017 peste 12 milioane de turiști, dintre care 2,75 milioane (23%) reprezintă turiștii străini. în ceea ce privește hotelurile, acestea au primit 8,56 milioane de turiști, dintre care 2,37 milioane (27,6%) reprezintă turiștii străini.

Cushman & Wakefield Echinox a realizat un prim studiu cu privire la piața hotelieră din România, analizând cele mai importante 8 orașe, inclusiv București, în funcție de capacitatea și clasificarea hotelieră, indicele net de utilizare a acestora, prezența lanțurilor internaționale și evoluția numărului de turiști cazați.

Harta orașelor reședință de județ care au atras cei mai mulți turiști în hoteluri în 2017

hartaturistiromania

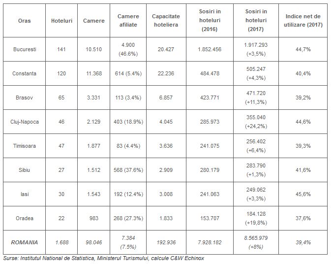
Numărul de hoteluri, camere, capacitate și indice net de utilizare în principalele orașe turistice

hoteluriromania

Bucureștiul este depășit de Constanța în ceea ce privește numărul de camere și capacitatea hotelieră, dar ca urmare a duratei scurte, de aproximativ trei luni, a sezonului estival, în hotelurile din Capitală se cazează de aproape patru ori mai mulți turiști decât în Constanța.

Piața hotelieră din București este dominată de hoteluri de 4* si 5*, care reprezintă peste 70% din capacitatea totală, în timp ce hotelurile de 1* si 2* au o pondere de doar 10%. Totodată, aproape 47% din camerele hotelurilor din București sunt operate sub sigla lanțurilor internaționale, față de o medie de doar 7,5% la nivel național. în această ierarhie, Capitala este urmată de Sibiu (37,6%), Oradea (27,3%) și Cluj-Napoca (18,9%).

între orașele analizate, cel mai ridicat indice net de utilizare a locurilor de cazare în hoteluri s-a înregistrat anul trecut în Iași (45,6%), București (44,7%) și Cluj-Napoca (44,6%), iar cele mai mari creșteri ale numărului de sosiri în hoteluri au fost consemnate în Cluj-Napoca (24,2%), Oradea (19,8%) și Brasov (11,3%). Cu o creștere de doar 3,5%, numărul de sosiri în hotelurile din București a crescut sub media națională, de 8%.

în ceea ce privește sectorul de tranzacții, piața hotelieră locală a fost în 2017 a doua cea mai atractivă din regiune, după Polonia, fiind consemnate două tranzacții majore cu o valoare cumulată de 183 de milioane de euro, și anume vânzarea complexului Radisson Blu din București și a Hotel Vienna House Easy Airport (fostul Angelo Otopeni).

Bucureștiul rămâne în continuare o destinație preponderent de business, fapt reliefat și de durata medie de ședere în hotelurile din oraș, de doar 1,63 zile, indicator aflat la un nivel comparabil pieței hoteliere din Varșovia. în schimb, hotelurile din Praga își primesc turiștii, în medie, pentru 2,35 zile, în timp ce în Budapesta cazarea medie are o durată de 2,25 zile, cele două orașe fiind destinații mai atractive pentru turismul de tip city-break.

Piața hotelieră locală va continua să se dezvolte în următorii ani, fiind susținută și de dinamica traficului aerian, care s-a dublat în ultimul deceniu, aeroporturile din România depășind în 2017 pragul de 20 de milioane de pasageri.

în următorii trei ani, Cushman & Wakefield Echinox estimează o creștere de minimum 10% a capacității de cazare a hotelurilor din București, ținând cont de proiectele planificate sau aflate deja în construcție, hoteluri noi urmând a fi dezvoltate și în majoritatea orașelor mari ale țării.

Hotelurile noi vizează fie mediul de afaceri, precum Courtyard by Marriott, dezvoltat pe bulevardul Dimitrie Pompeiu din București, sau ISHO Radisson Blu din Timișoara, fie turismul de agrement, cum este cazul Hotelului Nymphaea Resort, aflat în vecinătatea parcului avcatic Nymphaea din Oradea, sau Mercure Hotel & Spa Brasov.

Hoteluri planificate și aflate în construcție în marile orașe din România (selecție).

hoteluriinconstructie

Articole Recomandate

Despre HORECA

Horeca.ro aduce zilnic în actualitate cele mai importante informaţii din industria ospitalităţii româneşti şi cea internaţională.

© 2015-2022 Horeca Romania. Toate drepturile rezervate.
ISSN 2286-1211 » ISSN-L 2247-8302