Germanii, cei mai numeroși turiști străini în primele 8 luni

Germanii, cei mai numeroși turiști străini în primele 8 luni
person Horeca
access_time_filled

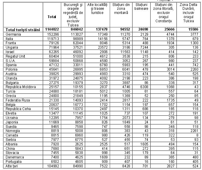
Peste 150.000 de turiști germani au sosit în structurile de primire turistică cu funcțiuni de cazare din România în primele 8 luni ale acestui an, potrivit Institutului Național de Statistică, germanii fiind cei mai numeroși turiști străini sosiți în structurile de primire turistică din țara noastră. Turiștii germani sunt urmați în acest sens de turiștii italieni (119.713 sosiri) și de cei francezi (79.126 sosiri).

Potrivit INS, sosirile înregistrate în structurile de primire turistică în primele 8 luni ale acestui an au însumat 5,444 milioane, dintre care 79% (430 milioane) aparțin turiștilor români și 21% (1,144 milioane) aparțin turiștilor străini. Din cei 1,144 milioane de turiști străini sosiți, cei mai numeroși sunt cei din Germania.

Cele mai multe sosiri ale turiștilor străini după țara de proveniență, pe zone turistice, în perioada 1 ianuarie – 31 august 2013, se prezintă după cum urmează:

turistiromania2013În ceea ce privește înnoptările înregistrate în structurile de primire turistică în primele 8 luni ale acestui an, acestea au însumat 13,290 milioane, în scădere cu 0,5% față de cele din primele 8 luni ale anului trecut. Din numărul total de înnoptări, doar 17,5% aparțin turiștilor străini.

Durata medie a șederii în perioada 1 ianuarie – 31 august 2013 a fost de 2,5 zile la turiștii români și la turiștii străini a fost de 2,0 zile.

Indicele de utilizare netă a locurilor de cazare în primele 8 luni ale anului a fost de 25,4% pe total structuri de cazare turistică, în scădere cu 1,2 puncte procentuale față de aceeași perioadă a anului trecut. La hoteluri s-au înregistrat indici de utilizare a locurilor de cazare în perioada 1 ianuarie – 31 august 2013 de 31,6%.

evolutieturistiromaniaSosirile vizitatorilor străini în România, înregistrate la punctele de frontieră, au fost, în primele 8 luni ale acestui an de 5,628 milioane, în creștere cu 1,8% față de primele 8 luni ale anului trecut. Majoritatea vizitatorilor străini provine din țări situate în Europa (94,1%). Din statele Uniunii Europene s-au înregistrat 57,8% din totalul sosirilor vizitatorilor străini în România. Dintre statele Uniunii Europene cele mai multe sosiri s-au înregistrat din Ungaria (30,0%), Bulgaria (23,3%),Germania (9,4%), Italia (7,0%), Polonia (7,0%) și Austria (4,3%).

Plecările vizitatorilor români în străinătate, înregistrate la punctele de frontieră, au fost în perioada 1 ianuarie – 31 august 2013 de 7,897 milioane, în creștere cu 3,4%, comparativ cu perioada 1 ianuarie – 31 august 2012.

Articole Recomandate

Despre HORECA

Horeca.ro aduce zilnic în actualitate cele mai importante informaţii din industria ospitalităţii româneşti şi cea internaţională.

© 2015-2022 Horeca Romania. Toate drepturile rezervate.
ISSN 2286-1211 » ISSN-L 2247-8302

Fatal error: Uncaught ErrorException: md5_file(/home/horeca/public_html/wp-content/litespeed/css/709d8f3f0f828cbc8096d21bfff7fc0a.css.tmp): failed to open stream: No such file or directory in /home/horeca/public_html/wp-content/plugins/litespeed-cache/src/optimizer.cls.php:148 Stack trace: #0 [internal function]: litespeed_exception_handler(2, 'md5_file(/home/...', '/home/horeca/pu...', 148, Array) #1 /home/horeca/public_html/wp-content/plugins/litespeed-cache/src/optimizer.cls.php(148): md5_file('/home/horeca/pu...') #2 /home/horeca/public_html/wp-content/plugins/litespeed-cache/src/optimize.cls.php(845): LiteSpeed\Optimizer->serve('https://www.hor...', 'css', true, Array) #3 /home/horeca/public_html/wp-content/plugins/litespeed-cache/src/optimize.cls.php(338): LiteSpeed\Optimize->_build_hash_url(Array) #4 /home/horeca/public_html/wp-content/plugins/litespeed-cache/src/optimize.cls.php(265): LiteSpeed\Optimize->_optimize() #5 /home/horeca/public_html/wp-content/plugins/litespeed-cache/src/optimize.cls.php(226): LiteSpeed in /home/horeca/public_html/wp-content/plugins/litespeed-cache/src/optimizer.cls.php on line 148