Peste 8,5 milioane de turiști în structurile turistice, în primele 10 luni

Peste 8,5 milioane de turiști în structurile turistice, în primele 10 luni
person Horeca
access_time_filled

turistiromaniaSosirile înregistrate în structurile de primire turistică din țară în primele 10 luni ale acestui an au însumat 8,518 milioane, în creștere cu 16,9% față de aceeași perioadă a anului trecut, a anunțat astăzi Institutul Național de Statistică.

Din numărul total de sosiri, sosirile turiștilor români în structurile de primire turistică cu funcțiuni de cazare au reprezentat 77,1%, în timp ce turiștii străini au reprezentat 22,9%, ponderi apropiate de cele din perioada similară a anului trecut.

în ceea ce privește sosirile turiștilor străini în structurile de primire turistică, cea mai mare pondere au deținut-o cei din Europa (74,7% din total turiști străini), iar din aceștia 85,8% au fost din țările aparținând Uniunii Europene.

înnoptările înregistrate în structurile de primire turistică în primele 10 luni ale acestui an au însumat 20.461 milioane, în creștere cu 15,7% față de perioada similară a anului trecut.

Din numărul total de înnoptări, înnoptările turiștilor români în structurile de primire turistică cu funcțiuni de cazare au reprezentat 81%, în timp ce înnoptările turiștilor străini au reprezentat 19%. în ceea ce privește înnoptările turiștilor străini în structurile de primire turistică, cea mai mare pondere au deținut-o cei din Europa (72,8% din total turiști străini), iar din aceștia 83,9% au fost din țările aparținând Uniunii Europene.

Durata medie a șederii în perioada 1 ianuarie – 31 octombrie 2015 a fost de 2,5 zile la turiștii români și 2 zile la turiștii străini.

Indicele de utilizare netă a locurilor de cazare în această perioadă a fost de 29,6 % pe total structuri de cazare turistică, în creștere cu 2,7 puncte procentuale față de aceeași perioadă a anului trecut. Indici mai mari de utilizare a locurilor de cazare în primele 10 luni ale acestui an s-au înregistrat la hoteluri (37,3%), vile turistice (22,7%), hosteluri (21,3%), căsuțe turistice și spații de cazare pe nave (câte 19,9% din fiecare).

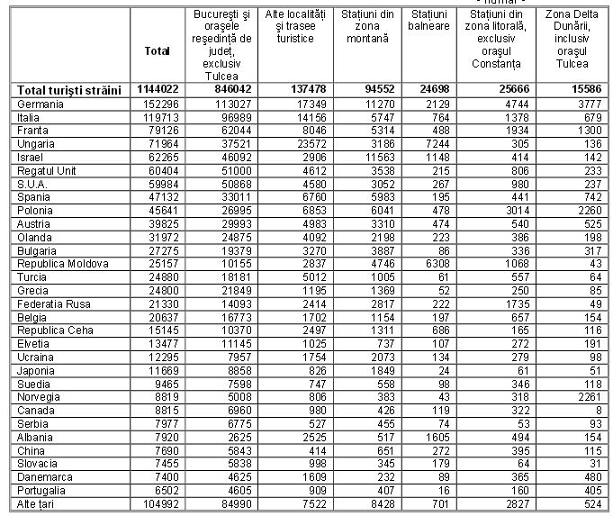
Cele mai multe sosiri ale turiștilor străini cazați în structurile de primire turistică cu funcțiuni de cazare au provenit din Germania (236.900), Israel (189.100), Italia (177.800), Franța (117.700) și S.U.A. (114.300).

Sosirile vizitatorilor străini în România, înregistrate la punctele de frontieră, au fost în primele 10 luni ale acestui an de 7,981 milioane, în creștere cu 9,9% față de perioada similară a anului trecut Majoritatea vizitatorilor străini provine din țări situate în Europa (92,8%). Din totalul sosirilor vizitatorilor străini în România, 57% provin din statele Uniunii Europene. Dintre statele Uniunii Europene cele mai multe sosiri s-au înregistrat din Ungaria (31%), Bulgaria (27,8%), Germania (8,4%), Polonia (7,1%), Italia (5,8%) și Austria (3,5%) .

Plecările vizitatorilor români în străinătate, înregistrate la punctele de frontieră, au fost în primele 10 luni ale acestui an de 11.1 milioane, în creștere cu 4,5% comparativ cu perioada similară a anului trecut. Mijloacele de transport rutier au fost cele mai utilizate pentru plecările în străinătate, reprezentând 78,9% din numărul total de plecări.

Sursă foto: www.independent.ie

Articole Recomandate

Despre HORECA

Horeca.ro aduce zilnic în actualitate cele mai importante informaţii din industria ospitalităţii româneşti şi cea internaţională.

© 2015-2022 Horeca Romania. Toate drepturile rezervate.
ISSN 2286-1211 » ISSN-L 2247-8302